• Reklama
    A1 - eko color 08.11-31.12.2025 Julian

Szukaj

    Reklama
    B1 tiger-coating 18.08.2022-24.01.2023 Julian przedłużony do końca 2025

    Przygotowanie Powierzchni

    Wydanie nr: 5(103)/2016

    Artykuły branżowe

    Przygotowanie Powierzchni

    ponad rok temu  10.09.2016, ~ Administrator,   Czas czytania 6 minut

    Strona 3 z 4

    W praktyce oznacza to, że o taką wartość powinniśmy pomniejszyć wynik odczytu z warstwomierza.
    Posługiwanie się wzorcami chropowatości pozwala na określenie pewnego zakresu chropowatości w wartościach bezwzględnych. Zgodnie z normą PN-EN ISO 8503-1 wzorce są cechowane w następujących zakresach chropowatości opisanych parametrem Ry5.
    Parametr RY został zdefiniowany jako odległość pomiędzy linią wzniesień profilu chropowatości a linią wgłębień profilu w przedziale odcinka elementarnego. Średnia z pięciu odcinków elementarnych określana jest jako Ry5 (rys. 2).
    Parametr RY jest jednym z kilku parametrów struktury geometrycznej chropowatości. Warto wymienić jeszcze:
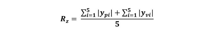
    Parametr RZ zdefiniowany jako wysokość chropowatości (zarówno szczytów, jak i wgłębień) od linii średniej wzdłuż odcinak pomiarowego lub elementarnego (rys. 3).



    Parametr RZ jest bardzo zbliżony do parametru RY, bez istotnego błędu można ich używać zamiennie.
    Parametr RA zdefiniowany jako średnie arytmetyczne odchylenie profilu od linii średniej mierzone wzdłuż odcinka pomiarowego lub elementarnego. Przedstawiony jest wzorem:



    Parametr RQ zdefiniowany jako średnie amplitudowe odchylenie profilu od linii średniej wzdłuż odcinka pomiarowego lub elementarnego.



    Są na rynku dostępne przyrządy (fot. 5) pozwalające na dokładne zbadanie profilu chropowatości, podające precyzyjnie wynik pomiaru w liczbach dla jednego lub kilku z wyżej wymienionych parametrów oraz przedstawiające profil graficznie (fot. 6).
    Jak wspomniano na wstępie, większość farb wykazuje wystarczającą przyczepność zarówno do powierzchni obrobionych śrutem ostrokątnym, jak i kulistym. Należy jednak pamiętać, że zakotwiczenie farb w podłożu po śrucie ostrokątnym jest zdecydowanie lepsze. Również przyczepność do podłoży o bardziej rozwiniętym profilu (pośredni lub gruboziarnisty) jest lepsza niż w przypadku podłoży drobnoziarnistych. Z kolei rozwinięty profil powierzchni ma znaczący wpływ na zużycie farb, szczególnie gruntów. W dolinach pomiędzy pikami powstaje tzw. martwa objętość (rys. 6), którą trzeba wypełnić farbą, natomiast nie jest ona uwzględniana przy pomiarze grubości powłoki. Przyjmuje się, że w zależności od profilu chropowatości musimy przy obliczeniach zużycia farby dodatkowo doliczyć:

    • dla profilu drobnoziarnistego ok. 0,01-0,02 litra farby w przeliczeniu na suchą powłokę1;
    • dla profilu pośredniego ok. 0,03 do 0,04 litra farby w przeliczeniu na suchą powłokę;
    • dla profilu gruboziarnistego ok. 0,05 do 0,06 litra farby w przeliczeniu na suchą powłokę;

    GALERIA ZDJĘĆ

    Rys. 1. Geometria powierzchni.
    Chropowatość powierzchni
    Fot. 1
    Fot. 2
    Fot. 3
    Fot. 4
    Rys. 2. Graficzna ilustracja parametru Ry.
    Rys. 3. Graficzna ilustracja parametru Rz.
    Rys. 4. Graficzna ilustracja parametru Ra (źródło Internet).
    Rys. 5. Graficzna ilustracja parametru Rq.
    Fot. 5
    Fot. 6. Graficzne odwzorowanie powierzchni na przyrządzie pomiarowym.
    Rys. 6. Martwa objętość (ang. dead volume).