
Fig. 4.
Każdy postrzegany przez nas kolor to bardzo rzadko pojedyncza fala o określonej długości, a prawie zawsze mieszanina barw. Mamy zatem kolor wynikowy będący mieszaniną fal elektromagnetycznych (rys. 5).

Fig. 5.
Barwa to tylko jeden z czynników mający wpływ na postrzeganie koloru. Barwna powierzchnia będzie wydawała się inna w zależności od rodzaju i natężenia światła. Farby są kolorowane przy pomocy barwników zwanych też kolorantami. Producenci farb korzystają z różnych systemów kolorowania wykorzystujących od kilku do kilkudziesięciu kolorantów. Dają one możliwość stworzenia setek tysięcy kolorów, ale nie wszystkich. Jeszcze 25-30 lat temu farby przemysłowe kolorowano w masie (całą szarżę), a zamówienie innego koloru niż oferował producent, w mniejszej ilości niż wielkość produkcyjna, np. 600 litrów było niemożliwe. Pierwszy wyłom poczynili producenci renowacyjnych lakierów samochodowych, później dołączyli do nich producenci farb przemysłowych. Z natury światła wiemy, że kolorów, tylko w zakresie światła widzialnego, może być nieskończona ilość. Do porównywania barw stworzono przestrzenny model światła i barw pozwalający na precyzyjne porównywanie kolorów (fig. 6).

Każdy kolor, łącznie z nasyceniem barwy, można opisać w tej przestrzeni za pomocą trzech wektorów:
L - jasność od czarnego do białego;
a - od zieleni (-a) do czerwieni (+a);
b - od niebieskiego (-b) do żółtego (+b).
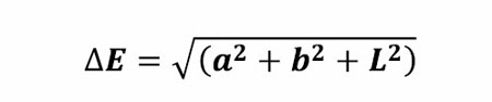
Parametrem pozwalającym na porównywanie konkretnej barwy z jej wzorcem jest deltaE opisany wzorem:

Graficzną ilustrację takiego porównania w przestrzeni barwnej ilustruje rysunek (fig. 7).

Fig. 7. Graficzna ilustracja parametru deltaE.
A - położenie koloru porównywanego; A' - położenie koloru porównywanego sprowadzonego do tej samej jasności co kolor wzorcowy; B - kolor wzorcowy.
Na porównanie koloru wynikowego ze wzorcem bardzo duży wpływ ma połysk. Stopień połysku nie wpływa w rzeczywistości na kolor, chociaż ta sama barwa o różnym stopniu połysku może dawać subiektywne odczucie różnicy w kolorze. Stopień połysku to zdolność przez obserwowaną powierzchnię do odbicia światła. Oznaczanie połysku zwierciadlanego niemetalicznych powłok lakierowych pod kątem 20 stopni, 60 stopni i 85 stopni opisano w normie PN-EN ISO 2813. Norma podaje metodykę pomiarów połysku, natomiast nie definiuje stopni połysku. Stopnie połysku zdefiniowane są w niemieckiej normie DIN 67530, która rozróżnia następujące stopnie przy pomiarze przyrządem o kącie 60°:






