• ReklamaA1 - silpol v2

Szukaj

    Reklama
    B1 - IGP 2024 Julian

    Aktualności i przegląd rynku

    Wydanie nr: 3(59)/2009

    Aktualności i przegląd rynku

    Galwanotechnika

    ponad rok temu  01.05.2009, ~ Administrator,   Czas czytania 5

    Strona 4 z 4

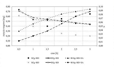
    Wyniki pomiarów zużycia na maszynie Amslera i chwilowego współczynnika tarcia przedstawia rysunek 3.

    726rys_4.jpg

    Rysunek 3. Zużycie wagowe (lewa oś i rosnące krzywe) i wartości chwilowego współczynnika tarcia (prawa oś i malejące krzywe) powłok Ni-B w czasie trwania próby.

    Badania zużycia kompozytowych powłok Ni-B wykazały różnice w odporności na zużycie w procesie tarcia tych warstw. Powłoki osadzone z kąpieli zawierającej 2 i 5 g/dm3 boru oraz 5 mM butyndiolu wykazały lepszą odporność na zużycie od powłoki osadzonej z kąpieli zawierającej 10 g/dm3 boru, 15 mM SA i 5 mM BD (Rys. 3). Te powłoki charakteryzowały się niewielką mikrotwardością, co wskazuje, że wzrost odporności na zużycie nie zawsze koreluje ze wzrostem twardości. Biorąc pod uwagę korelację mikrotwardości z rozmiarami ziaren niklowych wykazaną powyżej, można przypuszczać, że zmniejszanie rozmiarów krystalitów nie poprawia odporności na zużycie powłok kompozytowych. Wartości współczynnika tarcia wszystkich testowanych w badanym skojarzeniu ślizgowym powłok były bardzo małe i zmniejszały się w czasie próby (rys. 3).

    Podsumowanie

    1. Cząstki dyspersyjne i składniki dodatkowe użyte w kąpieli wpływały na skład i strukturę elektroosadzanej warstwy.

    2. Zmiana składu i struktury powłok kompozytowych pociągała za sobą zmianę ich właściwości, takich jak: mikrotwardość, chropowatość czy odporność na zużycie.

    3. Poprzez modyfikację składu kąpieli jest możliwe takie modyfikowanie składu powłoki kompozytowej, w wyniku którego będzie możliwa poprawa właściwości wytworzonych warstw.

    LITERATURA

    [1] M. El-Sherif, U. Erb, Plat. Surf. Finish., 1995, 82, 85.

    [2] N.V. Myung, M. Schwartz, K. Nobe, Plat. Surf. Finish., 2000, 87, 76.

    [3] A. Wolkenberg, A. Tokarz, A. Bochenek, Z. Nitkiewicz, A. Banaszkiewicz, H. Wrzesińska, A. Kudła, Problemy Eksploatacji, 2000, 2, 487.

    [4] W. Schwarzacher, D.S. Lashmore, IEEE Trans. Magnetics, 1996, 32, 3133.

    [5] N.V. Myung, K. Nobe, Plat. Surf. Finish., 2000, 87, 125.

    [6] L. Benea, P.L. Bonora, A. Borello, S. Martelli, F. Wenger, P. Ponthiaux, J. Galland, J. Electrochem. Soc., 2001, 148, C461.

    [7] C.T.J. Low, R.G.A. Wills, F.C. Walsh, Surf. Coatings Technol. 2006, 201, 371.

    [8] S. Steinhauser, B. Wielage, T. Lampke, Physico Chem. Mech. Mater., 2004, 4, 489

    [9] M. Trzaska, M. Kowalewska, A. Wyszynska, Rev. Adv. Mater. Sci., 2004, 8, 195.

    [10] G .W. Khaldeev, W. Koskov, L.M. Jagodina, Zascita Metallov., 1982, 18(5), 719.

    [11] Robertson, U. Erb, G. Palumbo, NanoStructured Mater., 1999, 12, 1035.

    Anna Gajewska-Midziałek

    Benigna Szeptycka

    Instytut Mechaniki Precyzyjnej, Warszawa